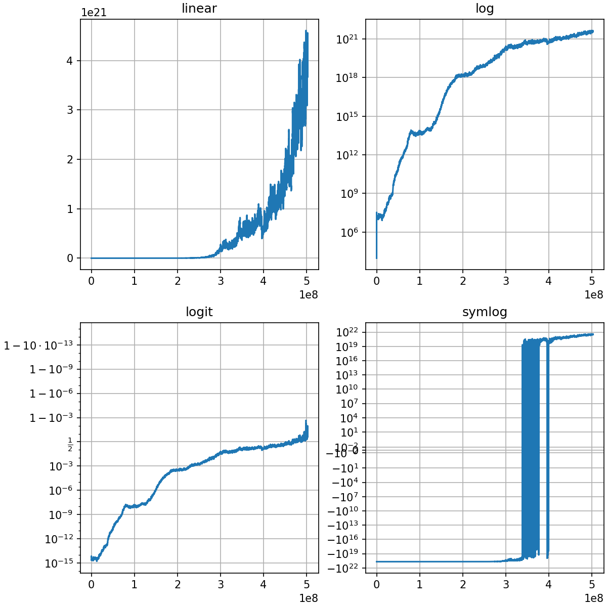
SORRY - DATA CURRENTLY OUTDATED (WIP)Network speed (log scale Y, linear temporal X)Network speed (various scales):